力華動態
行業資訊您現在的位置:網站首頁 > 行業資訊

無芯感應熔煉爐電流頻率的選擇,目的是為了獲得小的投資費用與運行的經濟性。在電源容量相同的條件下,隨著電流頻率的增高,其投資費用也相應增大。在兩種電流頻率都可以使用的情況下,選擇較低的電流頻率,可以節省一次投資費用。設備運行經濟性的指標是總的效率,包括電源設備的效率與感應熔煉爐的效率。電源的效率是指變壓器、調壓器、可控硅變頻裝置等的效率。感應熔煉爐效率包括熱效率與電效率,熱效率與電流頻率無關,而感應器一爐料系統的電效率隨著電流頻率的增加而增加。由于熔煉爐與感應加熱爐不同,沒有徑向溫差的限制,故其電流頻率可取得高些,一般取
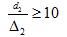
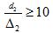
時,其電效率已基本達峰值。從
導出的電流頻率下限為:

現在生產廠家提供的工頻坁無芯感應熔煉爐其容量為0.75t、1.5t、3t、5t與10t等。提供的中頻無芯感應熔煉爐,其電流頻率為1000Hz,容量為150Kg、250Kg、500Kg與1000Kg,配的電源功率為100KW、160KW、250KW、500KW。
現如今力華生產的是小型中頻感應熔煉爐,可熔煉1KG-400KG金屬,還可根據您的需求非標訂制。
上一條:數控淬火機床故障是如何檢測的呢?
下一條:感應加熱電源的電效率







掃一掃領取5元紅包!